EPS@ISEP | The European Project Semester (EPS) at ISEP


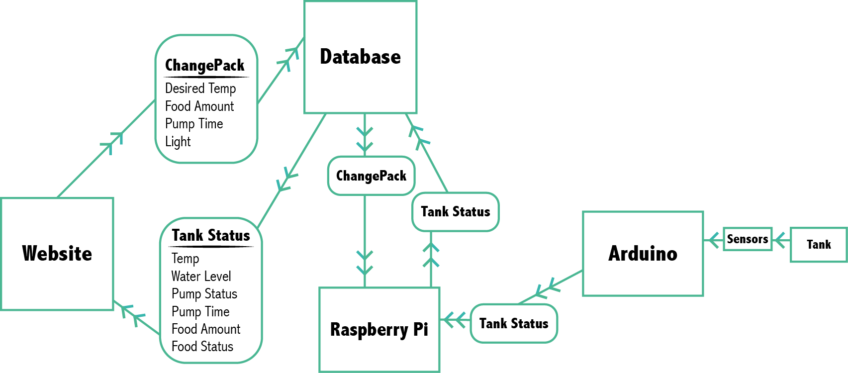
datatransferdiagram.png

datatransferdiagram.png

datatransferdiagram.png


Warning: Undefined array key 3 in /home/especiais/epsatisep/public_html/2015/EPS2015-wiki4/lib/tpl/vector/inc_detail.php on line 55
Date::
2015/05/04 09:51
Filename::
datatransferdiagram.png
Format::
PNG
Size::
56KB
Width::
1705
Height::
750
References for:
report


Warning: Undefined array key "img_backto" in /home/especiais/epsatisep/public_html/2015/EPS2015-wiki4/lib/tpl/vector/inc_detail.php on line 93
report

QR Code
QR Code report (generated for current page)